qPCR实验为什么要制作熔解曲线?
这种噪声会影响我们对靶基因产量的评估,甚至荧光强度和靶基因的起始量、全长根本没什么关系。
因此,我们使用荧光DNA染料结合法时,需要对扩增产物进行熔解曲线的分析。通过对扩增反应产物逐渐升温,同时监测每一步的荧光信号来制作熔解曲线。

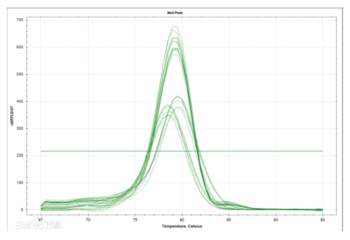
熔解曲线的纵坐标是荧光信号值,横坐标是温度值。通过观察产生的信号峰和对应温度,可以判断产物状态。
理想情况下,熔解曲线应该是单峰,峰值对应温度是特异性产物的退火温度,这才能说明扩增产物中特异性产物占比大。荧光DNA结合染料法的缺点是它们能在反应中结合所有DNA双链,包括在实时荧光PCR中产生的引物二聚体,和其他非特异性产物,引起大量的背景噪声信号。

这种噪声会影响我们对靶基因产量的评估,甚至荧光强度和靶基因的起始量、全长根本没什么关系。
因此,我们使用荧光DNA染料结合法时,需要对扩增产物进行熔解曲线的分析。通过对扩增反应产物星空体育 星空体育平台逐渐升温,同时监测每一步的荧光信号来制作熔解曲线。
熔解曲线的纵坐标是荧光信号值,横坐标是温度星空体育 星空体育平台值。通过观察产生的信号峰和对应温度,可以判断产物状态。
理想情况下,熔解曲线应该是单峰,峰值对应温度是特异性产物的退火温度,这才能说明扩增产物中特异性产物占比大。
