采用混合数据驱动和领域专家知识的方法,选择73个ECG特征,训练10个分类器,包括随机森林(RF)模型等。使用内部测试集和外部验证集评估模型的性能

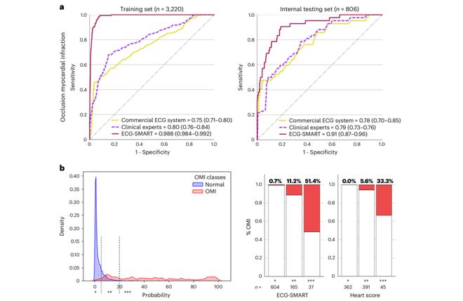
使用随机森林(RF)模型进行OMI的分类。RF模型在训练和内部测试中表现出最佳的偏差-方差权衡,AUROC值为0.91,显著优于临床医生(AUROC0.79)和商业ECG系统(AUROC0.78)

TreeSHAP算法生成了RF模型输出的特征重要性排名。影响分类结果的主要ECG特征包括V1、V2、I和aVL导联的轻微ST压低,III和V4-V6导联的轻微ST抬高,以及T波的变化等。这些特征与心肌缺血有明确的机制联系,表明其在OMI检测中的临床价值


通过机器学习基于上述32个功能模块中识别的3,906种蛋白质,研究者通过LASSO-Cox回归分析建立了PDAC的预后风险模型
如果想系统复现Nature Medicine文章的机器学习,可以参加我们一对一指导和包教包会的培训班

2.AI赋能+CNS文献精读,带你高效拆解多组学科研的经典范式与创新思路
3.全面覆盖代谢组、蛋白组、微生物组(宏基因组和16s)、转录组等热门方向,紧跟科研前沿
4.集成xgboost、lasso、随机森林等多种机器学习模型,打造智能化分析能力
6.独家“一对一指导+包教包会”教学模式,让你真正学得会、用得上、发得出

4.三种回归用于代谢组学数据分析:线性回归、Logistic 回归与 Cox 回归
3.构建通路富集网络:通路基因集之间的相似性,将富集的通路表示为一个相互连接的簇网络


7,多种机器学习星空体育 星空体育平台算法用于各组学筛选重要的特征:代谢物、肠道微生物、mRNA、蛋白质

2.基于共表达网络(GCN)和调控网络(GRN)探索多组学数据的拓扑特性
6.多组学联合分析三维多层网络:一个级别基因互作关系,第二层是蛋白/代谢物,层间边缘(连线)是基因和代谢物的生物学关系
7.使用Deepseek设计分析基于蛋白组+代谢组的多器官视角揭示脓毒症早期的能量代谢适应性,并生成初步代码框架

第十三节课:Deepseek解读肠道微生物组学与代谢组学、蛋白组、转录组联合分析课题思路设计
1.Deepseek设计网络毒理学和多组学的综合分析揭示肝毒性的潜在机制,并生成初步课题思路框架
2.Deepseek设计微生物+代谢组的小鼠下丘脑回路对肠道微生物群组成的快速调节,并生成课题思路框架
3.Deepseek设计微生物+转录,肠道细菌促结直肠癌新机制,并生成课题思路框架
4.Deepseek设计微生物+蛋白,灵芝多糖对阿尔茨海默病预防作用的机制,并生成课题思路框架
4.Deepseek辅助拒稿处理、推荐更适合期刊,提供投稿建议(实操+指令)
主讲老师华哥:华哥,中山大学博士,目前在东京大学从事医学人工智能研究。深耕单细胞多组学、空间转录组与机器学习领域6年,培养学员3万余人 ; 指导学员发表CNS主刊文章8篇、一区及子刊90余篇 ; 参与国自然重点、国家重大专项、孔雀计划等项目申报;合作院士团队及国际顶尖实验室,发表SCI论文21篇(PNAS、Cell Rep Med、JACS、Mol Cancer、EMBO Mol Med等顶刊)
授课理念:将生信内容全部学懂(理解)、学会(会敲代码分析)、学透彻(站在课题顶层设计角度理解)、学以致用(用到自己的标书申请和文章发表中)。
1.从19年开始到现在,我们在生信教育领域深耕六年之久,时间是最好的证明!

2.一对一指导、包教包会是我们开培训班五年来一贯的宗旨。我们敢承诺包教会的底气是来自多年的讲课经验和认真负责的态度。课程结束,答疑不结束!
3.六年来华哥培训班的学员发表Cell、Nature、Science主刊文章10篇,子刊及一区文章累计超过90篇!部分学员成果展示如下:

4.深入剖析二十多篇CNS文章的分析思路和分析方法,按照CNS文章源代码讲解,以文章的fig为例进行代码演示和复现学习,个性化分析。


广东省生信学会、寻因生物、中科院广州健康院和广州医科大学在粤港澳大湾区生信年会


广东省中医院承办的“生物信息学与组学技术理论培训班”,在广东省中医院大学城医院举办,华哥生信创始人张振华博士则从方法学角度深入剖析了人工智能在生物信息学数据挖掘中的创新应用与实践经验。官方链接:

“两生两谈”医学讲座,华哥生信创始人张振华博士讲解“AI+生信数据挖掘:如何让医生在AI技术的加持下挖掘公共数据库做出高质量科研成果?”

不用担心,我们已经考虑到这个问题了,基本上我们都会给您两轮机会学习,而且还配备往期视频给您预习直到您学会为止,不行免费再来一次,我们一直承诺包教包会。
再好的课程没有完善的后续服务只能让你摸不着脑袋,所以我们课后有完善的一对一指导服务,解决每个学员的所有问题。有问题及时一对一解决,把所有问题解决就学会了
我们的指导暂时没有时间限制,课程结束答疑不结束。复习视频也不会限制时间,甚至六年前的老学员还在保持联系,我们的目标是推动医学进步,希望大家生信问题多多交流。
(可开会务费 、培训费、数据分析费、测试费、测序技术服务费等发票)招生老师联系方式
单细胞多组学班和空间转录组班,连报优惠待议(优惠价格联系招生老师)汇款账号:

“大湾鸡”蘑菇蹲竟是即兴瞬间?独家对话导演帅好瑞:走红是对小演员们的最大肯定丨封面头条
地铁安保阿姨因化妆被投诉下岗?南京地铁回应:不会因妆容原因辞退员工,系多次违规被调岗,主动离职
男子双十一花3000多元网购显卡,收到的却是两本书,店方:退一赔三,正自查原因
福特CEO自述拆解特斯拉及中国电动车后“自愧不如”,“发现的东西令人震惊”
南京玄武湖爆火!初冬打翻调色盘,400 种菊花 + 三色乌桕美到窒息!
TCL Q9M RGB-Mini LED电视实拍:100% BT.2020色域、RGB万象分区
