前些日子,在预测2025年保险变化的时候,我提了一嘴,生命周期表和预定利率调整。

然后今天,我们又看到了,预定利率将要动态调整的消息,文件都出来了,真的是双重暴击。

这两者变动,在保险行业无愧是一顶一的重大事件。由此呢,在看到消息后,我就想着发篇文章,和大家聊聊。

比如老王,雄心壮志,他想开一家保险公司。那么他最关键的就是要搞明白,保险公司是怎么赚钱的。
聪明的老王发现,虽说保险与其他实物不同,但只要算清楚,每个环节的价格,成本也就出来了。
比方说,要卖一款寿险。是责任最简单的。以身故为赔付条星空体育登录入口 星空体育在线官网件的险种。人挂了,就赔钱。
那么最先要计算清楚的就是,纯保费成本需要多少。要有一个参照的数值,大致了解到,对应年龄的死亡风险,来去计算成本。
然后呢,风险成本算完后,就和其他商品一致,要计算好,人工、影响、场地、需要多少利润等等。

这里面呢,纯保费,就是保险产品最核心,就要依靠生命表和预定利率来计算的。
生命表就是根据过往一个时间段,有足够参考性的人口数据,发生死亡概率而推算出来的。

看起来有些复杂,我举个例子,让大家便于理解下,看看它是怎么影响着产品定价。
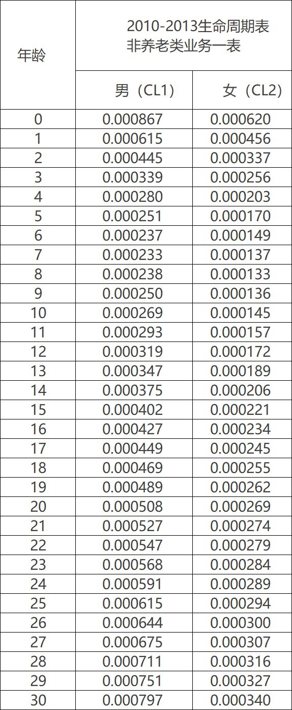
那咱就以30岁男性为例,取表CL1的概率为例。30岁男性的预定死亡率是千分之0.797。

比如说,30岁的男性,买100万的保额,保至60岁。现在的定价利率是2.5%。
就是光保障成本是这些,而市面上顶级定寿价格,也就1100元左右,足以看出,这些保险公司是多么卷,产品多么极致了。
当然了,这是一年期产品的价格,我只是作为参照。如果拉入长期的话,则要把其他年龄,按照上述公式整合计算下。
咱不是为了计算保险产品的价格,就是单纯的列出,让大家有个参考,知道为生命周期表的死亡发生率改变,会对保险产品定价有所改变。

生命表从最初版后,基本每十年更新一次。上一次是2013年版,到现在,正好10年过去了。

非养老业务,有两个表主要是影响健康险——包括重疾、防癌、医疗险这类的健康险;也包括定寿、终身寿这些。
具体结果呢,其实大家也能有所感受,随着医学发展,经济情况变好,那人均寿命自然会相应提高。
所以最新一般生命周期表,最大的改变就是,死亡率降低了,降幅基本都在20%以上。

养老业务表,0岁男孩、女孩,预期寿命是84.46、90.08,比上一版涨了将近2岁。

定期寿险,我们用上述计算公式带入,就非常容易理解。因为新版本生命周期表的死亡率降低了。
还是30岁男性,死亡率降至千分之0.623,那么带入计算结果,价格就变为607,降幅很明显。所以,定期寿险,会降价。
因为死亡率降了,人的寿命增加了,养老金总数不变的情况下,每年到手的钱必然会减少。
总而言之就是,存养老钱的成本增加了。退休后,想领同样的钱,需要付诸更多的成本。

今年预定利率会调整,在我看来就是或星空体育登录入口 星空体育在线官网早或晚的。因为去年末,在十年期国债降至1.7%左右的时候,我就和大家提到过,预定利率在2025年必然会调整。

要习惯由市场利率,就是LPR、10年期国债、5年期定存这些影响保险的预定利。
目前业内专家对预定利率评估值是2.5%,没有超过25个基点,由此暂时不会调整。但依照目前的利率下行速度,固定利率下调至2.0%的那天,并不会太远了。

其余长期险,重疾险、固定类增额终身寿这些,随着预定利率下调,影响还是比较大的,有配置需求的,要重点留意。
我们这代人,人均寿命逐渐增长是必然的,特别是寿命周期的更新,更加是加重了这一预期。
所以除了对产品领取变少的关注,我也想表达的,是要对未来养老,建立更提前、更充足的准备。
那对于90后、00后,因寿命增长的关系,就要在35-40岁之间开始储备养老这件事。
以前总觉得,长寿风险离我们很远。好像只活在影视剧里。看日本或其他发达国家,老年人到老后,如何再次投入岗位发光发热。
但现在随着寿命拉长,这件事似乎不再遥远,百年人生,有时候不仅意味着和谐、美满。要是钱不够花的老年生活,或许真不值得期待。
特别是养老金,本身预定利率下调,影响就是最大,这次生命周期表的正式实施,双层BUFF叠加了。

特别声明:以上内容(如有图片或视频亦包括在内)为自媒体平台“网易号”用户上传并发布,本平台仅提供信息存储服务。
火箭轻取魔术达成40胜:格林15+8+7申京14+14 贾巴里20+7
《长安·石之舞》试玩报告:差点在阴间大唐被痔疮喷死/
主站 商城 论坛 自运营 登录 注册 《长安·石之舞》试玩报告:差点在阴间大唐被痔疮喷死 Ma...
TrendForce:预估 2025 年智能手机生产总量仅会小幅增加 1.5%
苹果发布iOS18.4 Beta3测试版,iOS 18.3.2正式版推送在即
